Bando d'asta pubblica per alienazione immobili

Dettagli della notizia
BANDO D'ASTA PUBBLICA PER ALIENAZIONE IMMOBILI IN ATTUAZIONE ALLA D.D. SETTORE TERRITORIO N. GEN. 1518- N. SET. 193 DEL 17.12.2015 ART. 1
OGGETTO: Tornata unica di asta pubblica per cessione di n. 9 unità immobiliari di proprietà comunale.
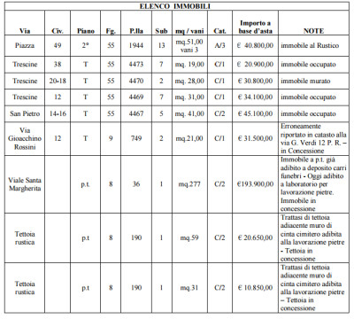
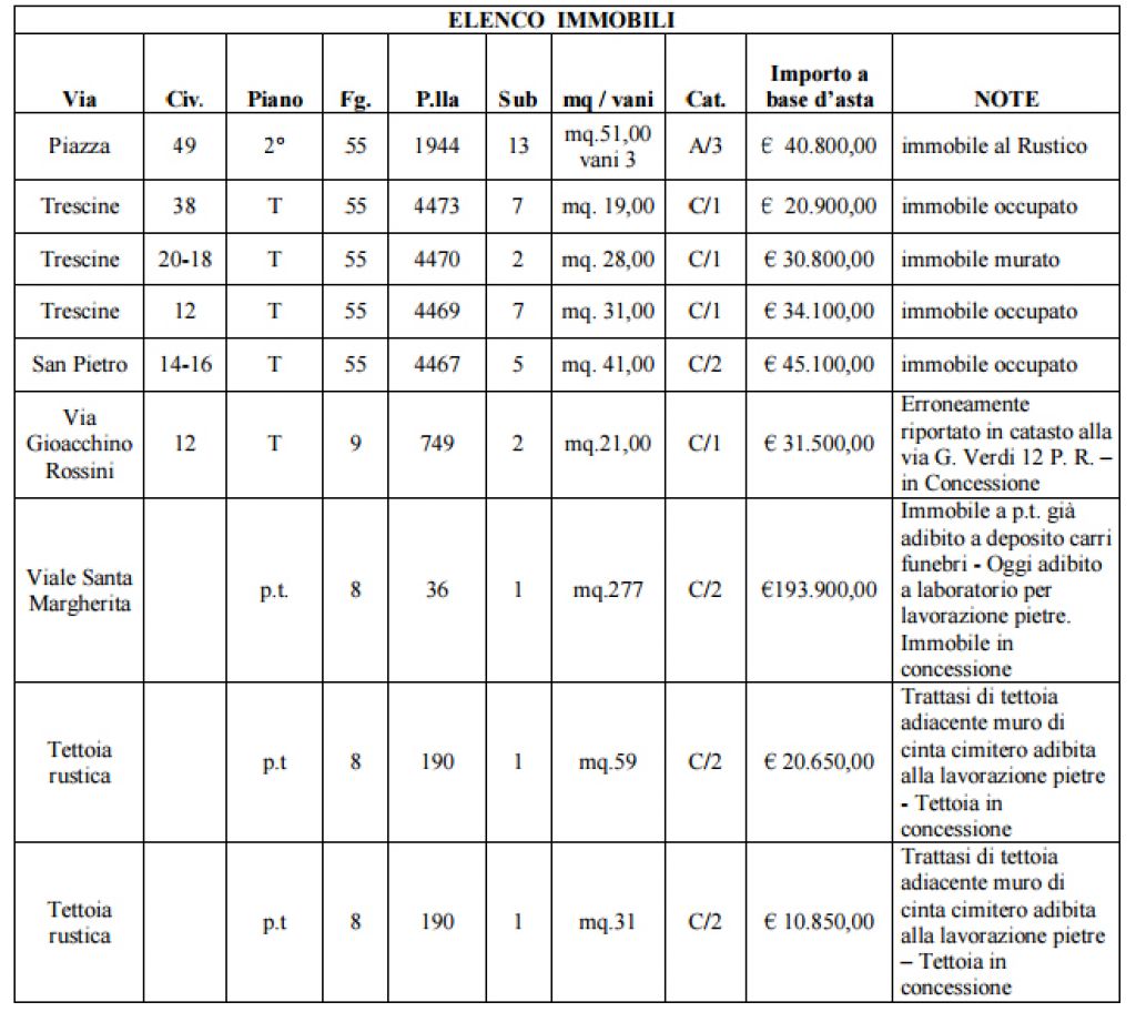
ART. 2 PREMESSA Questo Comune ha in programma di alienare n. 9 unità immobiliari individuate nel seguente elenco:

I soggetti che intendono partecipare all'asta pubblica dovranno far pervenire all'Ufficio Protocollo del Comune di Molfetta (BA) via Martiri di via Fani (Lama Scotella), entro il termine perentorio delle ore 12:00 del giorno 05 febbraio 2016, un plico chiuso, controfirmato e idoneamente sigillato, a pena di esclusione, su tutti i lembi di chiusura compresi quelli già preincollati, contenente la documentazione richiesta per la partecipazione alla gara e tante buste, ognuna delle quali deve contenere l'offerta per ciascuna unità immobiliare cui si riferisce.
Nella sezione amministrazione trasparente il bando completo e gli allegati.
Bando di asta pubblica per l'alienazione degli immobili comunali pubblicata in data 30.12.2015 in attuazione della D.D. ? Settore Territorio n. gen. 1518 ? n. set. 193 del 17.12.2015. Precisazioni.
Media
Documenti e link
Opzioni di stampa: